Übersicht
Visualisierungen
Vorkurs
Grundlagen
Funktionen
Differenzial- und Integralrechnung
Vektorrechnung
Funktionen
Komplexe Zahlen
Folgen und Reihen
Grenzwerte bei Funktionen und Stetigkeit
Differenzialrechnung
Integralrechnung
Vektorrechnung
Lineare Gleichungssysteme und Matrizen
Funktionen mit mehreren Veränderlichen
Differenzialrechnung bei mehreren Veränderlichen
Integration bei mehreren Veränderlichen
Impressum
→
Schnellzugriff
→
Übersicht
Visualisierungen
Vorkurs
Grundlagen
Funktionen
Differenzial- und Integralrechnung
Vektorrechnung
Funktionen
Komplexe Zahlen
Folgen und Reihen
Grenzwerte bei Funktionen und Stetigkeit
Differenzialrechnung
Integralrechnung
Vektorrechnung
Lineare Gleichungssysteme und Matrizen
Funktionen mit mehreren Veränderlichen
Differenzialrechnung bei mehreren Veränderlichen
Integration bei mehreren Veränderlichen
Impressum
Aufgaben
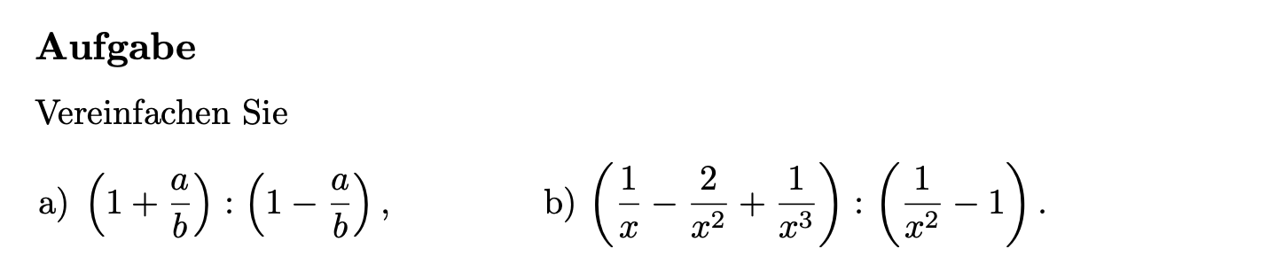
Bruchrechnen
Share by: